Вход/Регистрация
Гидравлика
вернуться

Бабаев Маариф Арзулла

Шрифт:

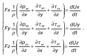
Полученную систему называют уравнением движения вязкой жидкости в напряжениях.

32. Деформация в движущейся вязкой жидкости

В вязкой жидкости имеются силы трения, в силу этого при движении один слой тормозит другой. В итоге возникает сжатие, деформация жидкости. Из-за этого свойства жидкость и называют вязкой.

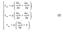
Если вспомнить из механики закон Гука, то по нему напряжение, которое возникает в твердом теле, пропорционально соответствующей относительной деформации. Для вязкой жидкости относительную деформацию заменяет скорость деформации. Речь идет об угловой скорости деформации частицы жидкости d/dt, которую поодругому называют скоростью деформации сдвига. Еще Исааком Ньютоном установлена закономерность о пропорциональности силы внутреннего трения, площади соприкосновения слоев и относительной скорости слоев. Также им был установлен

коэффициент пропорциональности динамической вязкости жидкости.

Если выразить касательное напряжение через его компоненты, то

А что касается нормальных напряжений ( —это касательная составляющая деформации), которые зависимы от направления действия, то они зависят также от того, к какой площади они приложены. Это их свойство называют инвариантностью.

Сумма значений нормальных напряжений

Чтобы окончательно установить зависимость между pud/dt через зависимость между нормальными

(pxx,pyy, pzz) и касательными (xy= yx; yx= xy; zx= xz), представив из (3)

pxx= —p + p'xx, (4)

где p'xx– добавочные нормальные напряжения, которые и зависят от направления воздействия, по

аналогии с формулой (4) получим:

Сделав то же самое для компонентов pyy, pzz, получили систему.

33. Уравнение Бернулли для движения вязкой жидкости

Элементарная струйка при установившемся движении вязкой жидкости

Уравнение для этого случая имеет вид (приводим его без вывода, поскольку его вывод сопряжен с применением некоторых операций, приведение которых усложнило бы текст)

Потеря напора (или удельной энергии) hПp – результат того, что часть энергии превращается из механической в тепловую. Поскольку процесс необратим, то имеет место потеря напора.

Этот процесс называется диссипацией энергии.

Другими словами, hПp можно рассматривать как разность между удельной энергией двух сечений, при движении жидкости от одного к другому происходит потеря напора. Удельная энергия – это энергия, которую содержит единичная масса.

Поток с установившимся плавно изменяющемся движением. Коэффициент удельной кинематической энергии Х

Для того, чтобы получить уравнение Бернулли в этом случае, приходится исходить из уравнения (1), то есть из струйки надо переходить в поток. Но для этого нужно определиться, что представляет собой энергия потока (которая состоит из суммы потенциальной и кинематической энергий) при плавно изменяющемся потоке

Разберемся с потенциальной энергией: при плавном изменении движения, если поток установившийся

Окончательно при рассматриваемом движении давление по живому сечению распределено согласно гидростатическому закону, т. е.

где величину Х называют коэффициентом кинетической энергии, или коэффициентом Кориолиса.

Коэффициент Х всегда больше 1. Из (4) следует:

34. Гидродинамический удар. Гидро– и пьезо– уклоны

В силу плавности движения жидкости для любой точки живого сечения потенциальная энергия Еп = Z + p/g. Удельная кинетическая Еk= X2/2g. Поэтому для сечения 1–1 полная удельная энергия

Сумму правой части (1) также называют гидродинамическим напором Н. В случае невязкой жидкости U2= x2. Теперь остается учесть потери напора hпр жидкости при ее движении к сечению 2–2 (или 3–3).

Например, для сечения 2–2:

Следует отметить, что условие плавной изменяемости должно быть выполнено только в сечениях 1–1 и 2–2 (только в рассматриваемых): между этими сечениями условие плавной изменяемости необязательно.

В формуле (2) физический смысл всех величин приведен ранее.

В основном все так же, как и в случае с невязкой жидкостью, основная разница в том, что теперь напорная линия Е = Н= Z + p/g + X2/2g не параллельна к горизонтальной плоскости сравнения, поскольку имеет места потери напора

  • Читать дальше
  • 1
  • ...
  • 9
  • 10
  • 11
  • 12
  • 13
  • 14
  • 15
  • 16
  • 17
  • 18
  • 19
  • ...

Ебукер (ebooker) – онлайн-библиотека на русском языке. Книги доступны онлайн, без утомительной регистрации. Огромный выбор и удобный дизайн, позволяющий читать без проблем. Добавляйте сайт в закладки! Все произведения загружаются пользователями: если считаете, что ваши авторские права нарушены – используйте форму обратной связи.

Полезные ссылки

  • Моя полка

Контакты

  • chitat.ebooker@gmail.com

Подпишитесь на рассылку: