Вход/Регистрация
Вертолёт, 2006 №4
вернуться

Журнал Вертолет

Шрифт:
Метод энергий

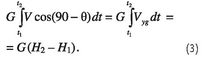
Предпосадочный маневр вертолета выполняется, в основном, по прямолинейной траектории. И в начале, и в конце этого маневра угловые скорости вертолета практически равны нулю. Поэтому при расчете траектории посадки используется теорема кинетической энергии материальной точки, гласящая: изменение кинетической энергии равно работе внешних сил, действующих на точку:

где m — масса вертолета; V — скорость полета; А — работа внешних сил на рассматриваемом участке траектории, равная

В приведенных формулах индексом 1 отмечены скорость V и время t в начале рассматриваемого участка траектории, а индексом 2 — в конце участка. Сила сопротивления несущего винта X (X > 0, когда сила направлена назад) и сила сопротивления планера вертолета X, скорость и время, не отмеченные индексом, — это текущие значения этих величин при движении на рассматриваемом участке траектории. Для простоты сила тяжести G отнесена к внешним силам.

Работа отрицательна, так как проекция вектора силы тяжести на вектор скорости V (рис. 1), а также силы X и X пл не совпадают с направлением движения. Но при снижении вертолета (угол 0 отрицателен) проекция силы G совпадает с направлением движения и ее работа положительна. То же имеет место с силой X: при подаче на винт достаточной мощности сила X становится пропульсивной, направленной вперед.

Работа силы тяжести, являющаяся потенциальной энергией вертолета, равна

Здесь и ниже индексом g отмечаются обозначения в земной системе координат.

Приведем уравнения движения вертолета в скоростной системе координат:

Теорема (1) следует из уравнения (4). Действительно, если умножить обе его части на скорость полета V, то слагаемое mV(dV/dt) в интеграле дает изменение кинетической энергии вертолета:

При снижении в каждый момент времени элементарная работа отрицательна: сумма сил сопротивления винта и планера превосходит проекцию силы тяжести.

По уравнениям движения находятся граничные значения сил X и Y. Например, в момент посадки желательно иметь: V yg =-2,5 м/с, V=50 км/ч, dV/dt=-0,5 м/с^2, d/dt=0…0,05 1/с. Силы X пл и Y пл допустимо определять при угле атаки 15°. В начале предпосадочного маневра X и Y известны из аэродинамического расчета на режиме планирования. Окружная скорость несущего винта R в момент посадки определяется из формулы Y~T=(0,95.1,05)G=(C т/)F(R)^2/2 при коэффициенте C т/, соответствующем шагу лопастей в момент посадки. Промежуточные значения X, Y и окружная скорость несущего винта находятся подбором (последовательными приближениями).

Рис. 1. Силы, действующие на вертолет

На режиме авторотации при выборе величин сил X и Y может использоваться соотношение X=Y/K. Оно полезно, так как качество несущего винта K практически не зависит от коэффициента тяги винта C т/, а только от отношений V/R и R/ (где — скорость звука), но оно не может использоваться при малых скоростях полета и больших углах наклона траектории. При вертикальной траектории Y=0, K=0 и это соотношение бесполезно.

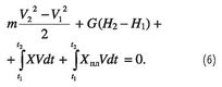
Таким образом, уравнение, выражающее баланс энергий вертолета, имеет вид

При расчетах целесообразно задаваться временем t = t 2– t 1изменения скорости от V 1до V 2, а по уравнению баланса энергий находить изменение высоты полета за время маневра. При посадках вертолета H 2=0, V 2— посадочная скорость; ее горизонтальная и вертикальная составляющие равны:

Из литературы по аэродинамике несущего винта известно выражение

Здесь N инди N проф, — индуктивные и профильные потери мощности винта; M k— крутящий момент аэродинамических сил винта; w — угловая скорость винта; М zни М xн— продольный и поперечный моменты винта (моменты на втулке); zи x— угловые скорости поворота винта в продольной и поперечной плоскостях вертолета. При посадках вертолета, как сказано выше, слагаемыми, содержащими wz и можно пренебречь. Выражение (7) может быть преобразовано следующим образом. При изменяющейся угловой скорости несущего винта крутящий момент винта определяется из формулы

Здесь — J момент инерции винта и вращаемых им агрегатов. Формула (8) является условием равновесия моментов относительно оси вала несущего винта; слева — моменты аэродинамических и инерционных сил лопастей (положительные значения моментов направлены против вращения несущего винта), а справа — момент, создаваемый двигателями вертолета (положительные значения моментов направлены по вращению несущего винта); N дв– мощность двигателей, расходуемая на приводы электро-, гидравлических и других систем вертолета, на вращение рулевого винта и теряемая из-за потерь на входе в двигатель и на выхлопе. Подставив формулу (8) в выражение (7), получим

  • Читать дальше
  • 1
  • ...
  • 4
  • 5
  • 6
  • 7
  • 8
  • 9
  • 10
  • 11
  • 12
  • 13
  • 14
  • ...

Ебукер (ebooker) – онлайн-библиотека на русском языке. Книги доступны онлайн, без утомительной регистрации. Огромный выбор и удобный дизайн, позволяющий читать без проблем. Добавляйте сайт в закладки! Все произведения загружаются пользователями: если считаете, что ваши авторские права нарушены – используйте форму обратной связи.

Полезные ссылки

  • Моя полка

Контакты

  • chitat.ebooker@gmail.com

Подпишитесь на рассылку: