Вход/Регистрация
Вместо картины
вернуться

Валюс Валерий Петрович

Шрифт:

Признаюсь, меня сильно удивили результаты моих незамысловатых расчетов. Но и ошибки я не могу найти.

Да, я не поленился и на пальцах прикинул, насколько может быть преувеличена масса галактики за счет темной материи. Для тех, кто не верит, что подобное можно прикинуть на пальцах, поясню: галактику представляют в виде шарового ядра и приплюснутого шара - эллипсоида, состоящего из звезд примерно одной плотности. Вне шарового ядра сила притяжения к нему убывает как 1/R2, а внутри звездного эллипсоида растет пропорционально R. Нужно подобрать массу ядра и плотность звездного облака так, чтобы обеспечить наблюдаемую скорость вращения звезд, которая согласно наблюдениям почти не зависит от R. Если размеры галактики уменьшились в 3 раза, то плотность звезд увеличилась в 27 раз. Ну и раза в 2 придется уменьшить массу ядра, чтобы обеспечить уменьшившуюся скорость вращения звезд из-за изменившихся размеров. Получаю цифру 54. Лезу в Википедию и нахожу там цифру 55 для соотношения масс темной и видимой материи. Правда, смешно? Метил пальцем в небо, а попал в яблочко. Я на точности этих прикидочных расчетов не настаиваю.

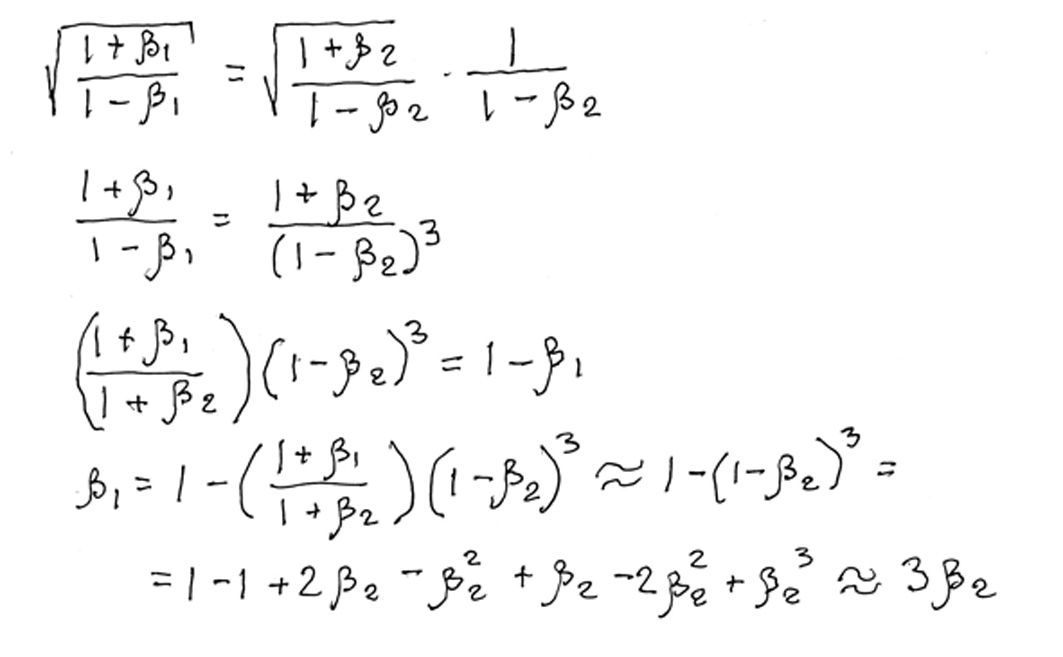
Подсчет коррекции для малых .

d(1) = r(2)

Т.е. смотрим как меняются оценки расстояний для одного и того же смещения длины волны.

 

P.S. Я послал это эссе в астрономический Интернет-журнал, а также десятку своих знакомых. Друзья, у которых нет высшего математического или физического образования, честно сказали, что при виде формул у них отключаются мозги. Из журнала ответа не было. А из знакомых физиков позвонила бывшая сокурсница и сказала, что, во-первых, я все напутал, а во-вторых, что пишу о хорошо известном в общей теории относительности космологическом красном смещении. Мне случалось таскать в рюкзаке мешки с цементом на Камчатке, промывать песок на притоках Лены, бить шурфы в бассейне Ангары, но в таких гиблых местах как общая теория относительности я не бывал. Разумеется, я не полез в самую трясину, а почитал статьи в Интернете о космологическом красном смещении. Действительно, явление вроде такое же, как у меня - расширение фотона вместе с Вселенной. Просто я взял его без каких-либо обоснований, по аналогии с реликтовым излучением. Эйнштейн, наверное, действовал иначе. Сказано там также, что космологическое красное смещение должно быть заметно у очень далеких небесных объектов, близких к краю Вселенной. Ну, это и я заметил - см. формулу (1). Длина волны растет с увеличением . Но вот никаких замечаний о том, что космологическое красное смещение нужно учитывать при расчетах расстояний до небесных тел по эффекту Доплера, я не встретил. Даже как раз наоборот, там говорилось, что экспериментальных подтверждений общей теории относительности не так уж много. Ничего себе немного, если нужно пересчитывать расстояния для небесных тел!

Замер я в недоумении, наверное, и знакомые физики тоже пришли в недоумение от моего текста и поэтому мне не ответили. Но поскольку я не нашел ошибки в своих рассуждениях, общей теории относительности не понял, и носом меня никто в мои ошибки не ткнул, то не выкидываю это эссе в корзину. Если это не описание мира, то хотя бы часть моей биографии, описание моего заблуждения.

Неуютная вещь - физика. В маниакально-депрессивный психоз тянет. Ладно, в молодости я по глупости в нее сунулся, но сейчас-то какого черта меня туда понесло?

Контакты:

E-mail: v-p-valius@narod.ru

Тел.: +7 499 131 19 02 (дом.), +7 906 748 24 37 (мобил.)

  • 1
  • 2

Ебукер (ebooker) – онлайн-библиотека на русском языке. Книги доступны онлайн, без утомительной регистрации. Огромный выбор и удобный дизайн, позволяющий читать без проблем. Добавляйте сайт в закладки! Все произведения загружаются пользователями: если считаете, что ваши авторские права нарушены – используйте форму обратной связи.

Полезные ссылки

  • Моя полка

Контакты

  • chitat.ebooker@gmail.com

Подпишитесь на рассылку: