Вход/Регистрация
Веб-дизайн
вернуться

Кирсанов Дмитрий Михайлович

Шрифт:

Рис. 5 В (а) левый прямоугольник кажется уже, чем правый, хотя в (б), наоборот, левый квадрат выглядит шире правого. На самом деле ширина всех четырех фигур одинакова

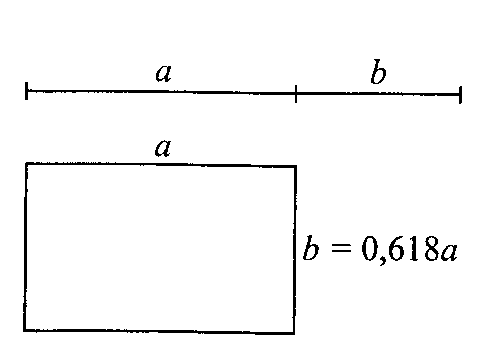
Рис. 6Золотое сечение (sectio aureu): b так относится к а, как а к сумме а + b (при этом b = 0,618а). С древних времен золотое сечение считается самой совершенной, гармоничной, уравновешенной пропорцией

Простые, геометрические текстуры (стр. 118) обычно в более сильной степени обладают эффектом «раздувания» форм, что объясняется их большей регулярностью, предсказуемостью и оттого более высокой визуальной плотностью. Максимума этот эффект достигает у геометрических узоров с элементом некоторой средней величины, тогда как у слишком мелких или слишком крупных узоров он невелик.

Если элементы узора или текстуры вытянуты в каком–то одном направлении, сама фигура также будет выглядеть удлиненной в этом направлении и сплющенной в перпендикулярном (рис. 5, а). На этом основан известный совет полным людям носить одежду с продольными, а ни в коем случае не поперечными полосами. Интересно, однако, что именно в случае узора из простых полосок следование этому совету может дать совершенно обратный эффект: так как при движении глаза поперек полос узор выглядит значительно пестрее и потому визуально «тяжелее», чем вдоль, полосатый квадрат всегда кажется шире в направлении, перпендикулярном полосам (рис. 5, б).

ПРОПОРЦИИ

Пропорцией в дизайне называют соотношение размеров либо разных объектов, либо составных частей или разных измерений (например, ширины и высоты) одного объекта. Здесь мы делаем первый шаг от размеров отдельного, «подвешенного в воздухе» объекта к пространственным отношениям внутри композиции — пока что абстрагируясь от взаимного расположения элементов и рассматривая только соотношения их размеров.

Золото и пластмасса. Архитекторы и художники древности придавали огромное значение выбору пропорций. Некоторые из их открытий, такие как «золотое сечение» (рис. 6), вполне могут пригодиться и сегодняшнему дизайнеру, но в целом классический подход к определению пропорций, обычно заключающийся в вычислении размеров по формулам, в современном дизайне применяется редко. Субъективность размеров, о которой мы говорили в предыдущем разделе, делает субъективными и пропорции, и нет никакого смысла вычислять габариты прямоугольников с точностью до третьего знака после запятой, если их воспринимаемый размер все равно будет отличаться от реального из–за факторов, о которых не задумывались художники эпохи Возрождения. Современный дизайнер выбирает пропорции почти исключительно «на глазок», добиваясь нужного ему соотношения активностей элементов не только варьированием размеров, но и с помощью множества других инструментов.

Таким образом, волшебного правила выбора пропорций на все случаи жизни не существует. При выборе размеров элементов нужно учитывать множество факторов: вклад элементов в информационное содержание композиции, их положение в контексте данной композиции (веб–страницы) и более крупной информационной единицы (сайта), контрастные отношения между ними, необходимость нюансировки и многое другое. Стиль композиции во многом определяется тем, насколько покорно дизайнер следует «натуральным» размерам элементов, соответствующим их относительной важности и традициям оформления, или же, наоборот, насколько свободно он варьирует пропорции, добиваясь необычного звучания страницы.

Пропорций простота. Можно лишь указать на относительную популярность простейших пропорций — в первую очередь равновеликости объектов, а также кратных соотношений их размеров (1:2, 1:3), что является следствием общего принципа единства и экономии средств («не следует усложнять без необходимости», стр.149). Но точно так же не следует и увлекаться простотой — композиция, где все выровнено со всем, может показаться скучной. Удобно представить себе что–то вроде наложенной на вашу страницу координатной сетки, ячейки которой имеют размер того или иного выдающегося элемента, и учитывать стремление других элементов «прилипать» (наподобие функции «snap» в векторных графических редакторах) к линиям этой сетки — лишь учитывать, впрочем, а отнюдь не безоговорочно подчиняться этому их стремлению.

Достаточно общим является также принцип ограничения пропорций «сверху». Несмотря на способность человеческого восприятия без труда приспосабливаться к любой шкале размеров, этой способностью не следует злоупотреблять — нельзя требовать от зрителя слишком частых «перенастроек» такого рода и безусловно следует избегать их в пределах одной композиции, (страницы). Однажды привыкнув к некоторому среднему размеру элементов, человеческий глаз может комфортно воспринимать только то, что не слишком

Рис. 7 Природа подсказывает пропорции для больших и для маленьких.

сильно отличается от него в сторону увеличения или уменьшения (иными словами, отношение размеров значимых элементов не должно превышать некоторой разумной величины; см. также стр.160).

Если на одной и той же странице вы заставляете зрителя сначала всматриваться в буквы высотой в несколько пикселов, а затем ошарашиваете его огромной полуразмытой фотографией через всю страницу, ни о какой цельности речи уже не идет. Из этого правила есть, впрочем, и исключения; так, элементы, выполняющие роль фона для чего–либо, выдерживают гораздо большее растяжение, чем элементы переднего плана, нагруженные информацией.

  • Читать дальше
  • 1
  • ...
  • 21
  • 22
  • 23
  • 24
  • 25
  • 26
  • 27
  • 28
  • 29
  • 30
  • 31
  • ...

Ебукер (ebooker) – онлайн-библиотека на русском языке. Книги доступны онлайн, без утомительной регистрации. Огромный выбор и удобный дизайн, позволяющий читать без проблем. Добавляйте сайт в закладки! Все произведения загружаются пользователями: если считаете, что ваши авторские права нарушены – используйте форму обратной связи.

Полезные ссылки

  • Моя полка

Контакты

  • chitat.ebooker@gmail.com

Подпишитесь на рассылку: