Вход/Регистрация
Последний самурай
вернуться

Девитт Хелен

Шрифт:

Камбэй велит Рикити вызвать самурая на бой. Сам сидит в доме и ждет. Говорит Кацусиро, чтобы тот притаился за дверью с палкой. Хороший самурай всегда парирует удар.

Я подумал, что быть трусом — просто недостойно для сына такого отца.

И сказал: Я хотел видеть вас, потому что я ваш сын.

Ты мой...

Тут я умер.

Светлые глаза на жестком лице сверкнули холодным блеском, точно лезвие занесенного меча. Я умер. И вот наконец он заговорил.

Как, черт побери, это могло случиться? Голос звучал раздраженно. Она ведь уверяла, что обо всем позаботится.

Она просто забыла, что приняла пилюлю днем позже, чем нужно, со всей искренностью и прямотой ответил я.

Ох уж эти женщины! презрительно воскликнул он. А ты, должно быть, старше, чем выглядишь. Это никак не могло случиться позже 1983 года, стало быть, тебе...

тринадцать лет и десять месяцев, быстро ответил я. И я действительно выгляжу значительно моложе.

Ну хорошо, тогда расскажи мне о себе, уже мягче произнес он. В какую ходишь школу? Чем увлекаешься?

Я не хожу в школу, ответил я. Занимаюсь дома.

И уже собрался было поведать о том, что знаю греческий, французский, иврит, арабский, японский, испанский, русский и латынь (в каком порядке их выучил, значения не имело) плюс осваиваю в настоящее время 17 или 18 других языков, как вдруг он взорвался.

О мой БОГ! в ужасе воскликнул он. О чем только думает эта глупая женщина? Ты хоть вообще ЧТО-НИБУДЬ знаешь? Сколько будет 6 умножить на 7?

Что вы имеете в виду? осторожно спросил я. Я еще не слишком продвинулся в изучении философии чисел.

Он принялся расхаживать по комнате — тяжелой поступью, слегка прихрамывая на одну ногу. И тут я снова вспомнил, что он прошел пешком тысячи миль. После паузы он сказал: Что ж, в таком случае мы должны тебя пристроить в школу, и чем скорее, тем лучше, мой юный друг. Только многого не жди. Возможно, я не потяну плату за какие-то особые частные школы. Но я слыхал, что и некоторые государственные тоже не так уж и плохи. А потом добавил: О Господи, да я уже в шесть знал таблицу умножения назубок и мог в уме умножать на 12!

Лично я уже в четыре знал всю таблицу умножения назубок и умножал в уме все числа на 20. Но решил ему не говорить. И вместо этого сказал: О, так вы хотели знать, сколько получится, если умножить 6 на 7?

А что еще я мог иметь в виду? огрызнулся он.

Не знаю, поэтому и спросил, что вы имели в виду, ответил я.

В школе всю эту дурь очень быстро выбьют у тебя из . головы, сказал он.

В ответ я заметил, что в школах, как правило, напрочь отшибают способность логически мыслить. Просто не верилось, что такой глупый человек смог отыскать затерянное племя молчунов. Неудивительно, что они так долго не хотели с ним разговаривать.

Он продолжал расхаживать по комнате и испепелять меня яростными взглядами злобно суженных глаз. Как называется столица Перу? ни с того ни с сего вдруг спросил он.

О!.. А разве там есть столица? язвительно спросил я.

О — мой — Бог!..

Мадрид? сказал я. А может, Барселона? Или Киев?

Где находится эта страна?

Буэнос-Айрес! воскликнул я. Сантьяго! Картахена! И только не говорите мне что это в Бразилии так сейчас вспомню одну минуточку этого никак не может быть Акапулько нет ну надо же прямо так и вертится на языке и только не говорите мне что это священный древний город инков под названием Касабланка!..

Он сказал: Лима.

Я заметил: Так и знал, что это не Касабланка. Может, спросите что-то еще?

Он сказал, что неплохо было бы узнать у меня телефон мамы. Что хочет перемолвиться с ней парой слов.

Я ответил: Знаете, мне бы не хотелось давать вам ее телефон.

Он сказал: Ты сам не знаешь, чего хочешь.

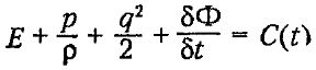
Больше всего на свете мне хотелось, чтобы все это кончилось. Я пришел вовсе не за тем, чтобы просить у него денег. Но нужно было что-то сказать, и потому я сказал: Послушайте, я пришел сюда вовсе не для того, чтобы обсуждать свое образование. Я знаю, что б умножить на 7 будет 42, что 13 умножить на 17 получится 221, что 18 умножить на 19 равно 342. И еще я знаю биномную теорему, и знаю, что

есть не что иное, как равенство Бернулли для расчета силы инверсионного несжимаемого и невращающегося потока. Я намерен научиться работать в команде, все члены которой уже вышли из подросткового возраста. Моя мать не знает, что я пришел сюда, к вам, она вовсе не хочет вас беспокоить. Но она постепенно сходит с ума от своей работы. Я хочу купить мула и отправиться на нем в Анды. Я думал, вы можете помочь.

Последнее, чего бы мне сейчас хотелось, так это оказаться где-нибудь в горах Урала с этим психопатом. Я также не видел возможности признаться ему в том, что хочу поступить в Оксфорд в одиннадцать лет. Но мне просто надо было что-то сказать.

  • Читать дальше
  • 1
  • ...
  • 85
  • 86
  • 87
  • 88
  • 89
  • 90
  • 91
  • 92
  • 93
  • 94
  • 95
  • ...

Ебукер (ebooker) – онлайн-библиотека на русском языке. Книги доступны онлайн, без утомительной регистрации. Огромный выбор и удобный дизайн, позволяющий читать без проблем. Добавляйте сайт в закладки! Все произведения загружаются пользователями: если считаете, что ваши авторские права нарушены – используйте форму обратной связи.

Полезные ссылки

  • Моя полка

Контакты

  • chitat.ebooker@gmail.com

Подпишитесь на рассылку: