Вход/Регистрация
Гидравлика
вернуться

Бабаев Маариф Арзулла

Шрифт:

Определимся теперь: чему будут равны V1 и V2.

В результате растяжки трубы произойдет приращение радиуса трубы на r, то есть радиус станет равным r= r+ r. Из-за этого увеличится круглое сечение поперечного сечения на = – . Все это приведет к приращению объема на

V1= (– )l = l. (3)

Следует иметь в виду, что индекс ноль означает принадлежность параметра к начальному состоянию.

Что касается жидкости, то ее объем уменьшится на V2 из-за приращения давления на p.

Искомая формула скорости распространения волны гидравлического удара

где – плотность жидкости;

D/l – параметр, характеризующий толщину стенки трубы.

Очевидно, что чем больше D/l, тем меньше скорость распространения волны С. Если труба жесткая абсолютно, то есть Е = , то, как следует из (4)

53. Дифференциальные уравнения неустановившегося движения

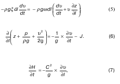
Для того, чтобы составить уравнение любого вида движения, нужно проецировать все действующие силы на систему и приравнивать их сумму к нулю. Так и поступим.

Пусть имеем напорный трубопровод круглого сечения, в котором есть неустановившееся движение жидкости.

Ось потока совпадает с осью l. Если выделить на этой оси элемент dl, то, согласно вышеуказанному правилу, можно составить уравнение движения

В приведенном уравнении проекции четырех сил, действующих на поток, точнее, на l, равны нулю:

1) M – силы инерции, действующие на элемент dl;

2) p – силы гидродинамического давления;

3) T – касательные силы;

4) G – силы тяжести: здесь мы, говоря о силах, имели в виду проекции сил, действующих на элемент l.

Перейдем к формуле (1), непосредственно к проекциям действующих сил на элемент t, на ось движения.

1. Проекции поверхностных сил:

1) для гидродинамических сил p проекцией будет

2) для касательных сил T

Проекция касательных сил имеет вид:

–gJdl. (3)

2. Проекция сил тяжести G на элемент

3. Проекция сил инерции M равна

54. Истечение жидкости при постоянном напоре через малое отверстие

Будем рассматривать истечение, которое происходит через малое незатопленное отверстие. Для того, чтобы отверстие считать малым, должны выполняться условия:

1) напор в центре тяжести Н >> d, где d – высота отверстия;

2) напор в любой точке отверстия практически равен напору в центре тяжести Н.

Что касается затопленности, то таковой считают истечение под уровень жидкости при условии, если не изменяются со временем: положение свободных поверхностей до и после отверстий, давление на свободные поверхности до и после отверстий, атмосферное давление по обе стороны от отверстий.

Таким образом, имеем резервуар с жидкостью, у которой плотность , из которого через малое отверстие происходит истечение под уровень. Напор Н в центре тяжести отверстия постоянен, что значит, скорости истечения постоянны. Следовательно, движение установившееся. Условием равенства скоростей на противоположных вертикальных границах отверстий является условие d <= 0,1Н, где d – наибольший вертикальный размер.

Ясно, что нашей задачей является определение скорости истечения и расхода жидкости в нем.

Сечение струи, отстоящее от внутренней стенки резервуара на расстояние 0,5d, называют сжатым сечением струи, которое характеризуется коэффициентом сжатия

Формулы определения скорости и расхода потока:

где называется коэффициентом скорости.

Теперь выполним вторую задачу, определим расход Q. По определению

Обозначим Е= , где – коэффициент расхода, тогда

Различают следующие разновидности сжатия:

1. Полное сжатие – это такое сжатие, которое происходит по всему периметру отверстия, в противном случае сжатие считается неполным сжатием.

2. Совершенное сжатие является одной из двух разновидностей полного сжатия. Это такое сжатие, когда кривизны траектории, следовательно, и степень сжатия струи наибольшие.

Подводя итог, заметим, что неполная и несовершенная формы сжатий приводят к росту коэффициента сжатия. Характерной особенностью совершенного сжатияявляется то, что в зависимости от того, под воздействием каких сил происходит истечение.

  • Читать дальше
  • 1
  • ...
  • 17
  • 18
  • 19
  • 20
  • 21
  • 22
  • 23

Ебукер (ebooker) – онлайн-библиотека на русском языке. Книги доступны онлайн, без утомительной регистрации. Огромный выбор и удобный дизайн, позволяющий читать без проблем. Добавляйте сайт в закладки! Все произведения загружаются пользователями: если считаете, что ваши авторские права нарушены – используйте форму обратной связи.

Полезные ссылки

  • Моя полка

Контакты

  • chitat.ebooker@gmail.com

Подпишитесь на рассылку: