Вход/Регистрация
Вертолёт, 2006 №4
вернуться

Коллектив авторов

Шрифт:

энергия винта и планера соответственно составляет 530 и 0. Работа внешних сил А=320-530-0=-210. Энергия винта, равная 530, состоит из индуктивных и профильных потерь: 1680 и 630; энергии двигателя минус потери на привод систем вертолета: 1685; изменения кинетической энергии винта: -95 (1680+630-1685-95=530). Кинетическая энергия вертолета при посадке и посадочная скорость: mV2²/2=(243+320)-530=33, V2=26 км/ч.

Следует отметить, что по сравнению с посадкой на авторотации из-за работы одного двигателя интеграл от XV уменьшился, а его составляющие от индуктивных и профильных потерь винта велики (из-за малых скоростей полета и увеличения продолжительности маневра). Поэтому небольшие ошибки при определении этих потерь недопустимы. Важно правильно определить продолжительность предпосадочного маневра, от которой зависит величина интегралов, в том числе энергия, вносимая работающим двигателем. В книге «Динамика вертолета. Предельные режимы полета» (Браверман А.С., Вайнтруб А.П. М.: Машиностроение, 1988) время маневра определялось по предварительным расчетам нескольких маневров численным интегрированием уравнений движения. Затем была получена аналитическая зависимость времени маневра от высоты, на которой происходит отказ двигателя.

В приведенном выше примере (формула 6) вносимая энергия равна 243+320=563, а потерянная — 530, их разность, то есть кинетическая энергия в момент посадки, равна 33. По расчетам по формуле (11) вносимая энергия равна 243+320+1685+95=2343, а потерянная 1680+630=2310 кгм. Значит, кинетическая энергия при посадке и посадочная скорость определяются как малая разность больших величин, следовательно, требуется высокая точность расчетов. Небольшая ошибка в величине потерь приводит к принципиальному искажению результатов расчетов. Однако даже при ошибке можно найти такое управление шагом винта и мощностью двигателя, что посадочная скорость будет малой.

В работе «О безопасной высоте висения» (вертикальной посадке вертолета после отказа двигателя на режиме висения) на числовом примере показано, что энергия работающего двигателя составляет 70 % от энергии индуктивных и профильных потерь, а энергия «подрыва» — 12 %. Изменение кинетической энергии вертолета мало, так как вертолет изменяет скорость от нуля до малой величины: вертикальная посадочная скорость не более 3–4 м/с. Требуется найти потенциальную энергию вертолета, которой пропорциональна высота висения. Потенциальная энергия равна 100 %- (70+12)%=100 %-82 %=18 %, то есть величины энергий не так близки, как при посадке с режима планирования с поступательной скоростью.

Метод мощностей

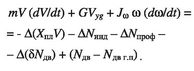
Есть методы, в которых для определения dV/dt и Vyg используется уравнение

Авторы фактически предполагают, что потери мощности и сила X равны как при маневрировании вертолета, так и при установившемся горизонтальном полете.

В книге «Динамика полета вертолета» (Трошин И.С. М.: МАИ, 1990) дана следующая формула:

где — Nv увеличение мощности при изменении направления полета. Однако потери мощности изменяются и при прямолинейном полете. В работе нет указания, как найти Nv.

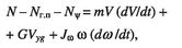
Предлагается другая формула:

В это уравнение входят мощность двигателя и коэффициент ηв, названный пропульсивным коэффициентом вертолета. Известно понятие о пропульсивном коэффициенте η несущего винта. Он определяется как отношение приращений (Δ — обозначение приращений) пропульсивной и полной мощностей несущего винта:

η =-Δ (XV)/ΔN.

Получим аналогичное выражение для коэффициента ηв. Приравняв друг к другу выражения для произведения XV по уравнениям (4) и (9), получим

Это уравнение при установившемся горизонтальном полете обращается в следующее:

Вычтем из первого уравнения второе:

Обозначив

получим предлагаемое выражение (12). Из выражения (13) видно, что коэффициент ηв, кроме изменения индуктивных и профильных потерь несущего винта при маневрировании, учитывает изменение силы сопротивления планера вертолета, изменение взаимовлияния винтов и планера, а у многовинтовых схем — изменение взаимовлияния винтов. Он учитывает также изменение потерь мощности двигателя при маневрировании.

Коэффициент ηв находится не по формуле (13), а следующим образом. Определенная в летных испытаниях или по расчету зависимость GVyg=ƒ(Nдв) на установившемся прямолинейном полете при G=const, Vcosα=const и ωR=const линеаризуется, то есть максимально близко к экспериментальным или расчетным точкам проводится прямая линия (нетрудно показать, что точки располагаются близко к прямым). Эта зависимость определяется не при V=const, а при Vcosα=const, чтобы охватить все возможные траектории с любыми углами θ. Так, в полете вертолета по вертикали, когда 0~α=±90°, точки с разными V ложатся на кривую с Vcosα=const=0. Коэффициент ηв равен тангенсу угла наклона прямой. По этой зависимости находится также Nдв.г. п.

Определение ηв и Nдв.г. п можно формализовать и выполнять на компьютере.

Указанную зависимость требуется определить при разных Vcosα=const. Формулу (12) проще использовать для расчета торможения или разгона вертолета по прямолинейной траектории, когда G-ranst, так как в этом случае величины Nдв.г. п и ηв достаточно определить при одной величине G.

Проинтегрировав уравнение (12), получим еще один вариант уравнения баланса энергий:

  • Читать дальше
  • 1
  • ...
  • 6
  • 7
  • 8
  • 9
  • 10
  • 11
  • 12
  • 13
  • 14
  • 15
  • 16
  • ...

Ебукер (ebooker) – онлайн-библиотека на русском языке. Книги доступны онлайн, без утомительной регистрации. Огромный выбор и удобный дизайн, позволяющий читать без проблем. Добавляйте сайт в закладки! Все произведения загружаются пользователями: если считаете, что ваши авторские права нарушены – используйте форму обратной связи.

Полезные ссылки

  • Моя полка

Контакты

  • chitat.ebooker@gmail.com

Подпишитесь на рассылку: