Вход/Регистрация
Вертолёт, 2006 №4
вернуться

Коллектив авторов

Шрифт:

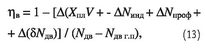
Из формулы (12) и уравнения (4), умноженного на V, следует соотношение

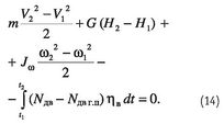
Это соотношение подтверждает справедливость уравнения (14).

Остановимся на величине коэффициента ηв. Она зависит от величины η На рис. 3 показан график указанной выше зависимости в безразмерном виде для идеального винта.

На больших скоростях (V>70…140 км/ч в зависимости от отношения нагрузки на 1 м² площади винта к относительной плотности воздуха) — Δ(XV)=ΔN и ηid=1. У реального винта на режимах полета с такими скоростями η~0,95. При меньших скоростях наклон кривых на рис. 3 возрастает, следовательно, — Δ(XV) больше, чем ΔN, и ηid>1. Величина ηid при Vcosα=0 достигает 1,85. Увеличение ηid объясняется уменьшением индуктивных потерь несущего винта из-за увеличения массы протекающего через винт воздуха. Однако η, тем более ηв, меньше ηid из-за возрастания профильных потерь при увеличении — XV. При вертикальном наборе высоты η=1,8.1,5. Для определения ηв рассматриваемого вертолета был сделан расчет зависимости GV fNJ при вертикальном наборе высоты, из которого следует, что у вертолета Nдв.г. п =3460 л.с., ηв=1,4. Так как ηв>1, то это значит, что скобка в числителе выражения (13) отрицательна, то есть уменьшение N больше, чем увеличение остальных слагаемых числителя. На скорости 85 км/ч у этого вертолета Nдв.г. п ==2950 л.с., ηв=0,96. Таким образом, в методе мощностей, особенно при скоростях менее ~100 км/ч, нужно использовать формулу (14), так как ηв¬=1.

Рис. 3. Зависимость безразмерной пропульсивной мощности от полной мощности

Можно сделать следующие основные выводы:

1) из-за малых посадочных скоростей у вертолета его кинетическая энергия в момент посадки является малой величиной по сравнению с начальными, вносимыми и потерянными энергиями. Поэтому при расчетах посадочных скоростей должны учитываться все входящие в уравнение баланса виды энергии. Определять их нужно не по приближенным формулам, а как можно точнее;

2) при использовании метода мощностей необходимо учитывать пропульсивный коэффициент вертолета.

Управление беспилотным летательным аппаратом

Анализируя систему управления (СУ) современных и перспективных беспилотных летательных аппаратов (БЛА), необходимо отметить, что ее основой являются инерциальные системы, обладающие полной автономностью и высокой помехозащищенностью.

Система управления полетом БЛА обеспечивает движение центра масс летательного аппарата в соответствии с заданной дальностью; осуществляет угловую стабилизацию БЛА относительно его центра масс; управляет боковым движением центра масс аппарата относительно плоскости полета, то есть обеспечивает движение центра масс БЛА по программной траектории, параметры которой заранее рассчитываются и вводятся в систему управления перед пуском.

Структурная схема аппаратуры системы управления и стабилизации изображена на рис. 1, где КГП — комплекс гироскопических приборов; БДУС — блок датчиков угловой скорости; НАП — навигационная аппаратура потребителя; ГСН — головка самонаведения; ОУ — оконечное устройство; А1-А3 — акселерометры; РМ — рулевая машинка.

Возможность наблюдения за движением БЛА обеспечивает информационно-измерительный комплекс (ИИК). В него входят гиростабилизированная платформа и блок датчиков угловой скорости. К платформе предъявляются требования по обеспечению заданных углов прокачки по трем осям;

динамических характеристик платформы как звена системы автоматического регулирования; точности стабилизации платформы в заданном диапазоне частот и точности измерения датчиками углов и ускорений.

Вся информация из информационно-измерительного комплекса поступает в БЦВМ. В высокочастотных СУ беспилотных летательных аппаратов используется малогабаритная высокопроизводительная ЭВМ, предназначенная для решения задач управления и стабилизации ракеты в реальном масштабе времени.

< image l:href="#"/>

Рис. 1. Структурная схема аппаратуры системы управления и стабилизации

Системное программное обеспечение ЭВМ содержит тестовые и технологические компоненты. Тестовое программное обеспечение представляет собой систему встроенного тестового контроля. Технологическое программное обеспечение выполняет запись полетных программ систем управления и стабилизации с помощью операционной системы реального времени (ОСРВ). Полетные программы можно многократно изменять в ходе эксплуатации БЛА. ОСРВ базируется на концепции многозадачности и взаимодействия при решении разнообразных задач.

Исполнительным элементом системы управления и стабилизации большинства современных БЛА является гидравлический рулевой привод. Привод органов управления следует рассматривать как замкнутую систему регулирования. Объектом управления являются рулевые органы БЛА, а исполнительным элементом — рулевые машинки.

С увеличением объема задач, решаемых системой управления и стабилизации БЛА, соответственно изменятся технические требования, увеличится и приборный состав СУ.

Основными направлениями совершенствования системы управления являются:

— повышение точностных характеристик приборов (снижение инструментальных и методических ошибок; разработка новых алгоритмов решения задачи наведения и коррекции на траектории; разработка проблемно-ориентированных микропроцессоров);

— разработка новой элементной базы приборов СУ (применение перспективных разработок в гироскопии; создание астроинерциальных приборов);

— максимальная автоматизация процессов проверки и предстартовой подготовки, снижение массовых, габаритных и временных характеристик элементов системы.

  • Читать дальше
  • 1
  • ...
  • 7
  • 8
  • 9
  • 10
  • 11
  • 12
  • 13
  • 14
  • 15
  • 16
  • 17
  • ...

Ебукер (ebooker) – онлайн-библиотека на русском языке. Книги доступны онлайн, без утомительной регистрации. Огромный выбор и удобный дизайн, позволяющий читать без проблем. Добавляйте сайт в закладки! Все произведения загружаются пользователями: если считаете, что ваши авторские права нарушены – используйте форму обратной связи.

Полезные ссылки

  • Моя полка

Контакты

  • chitat.ebooker@gmail.com

Подпишитесь на рассылку: