Вход/Регистрация
Чаша небес
вернуться

Нивен Ларри

Шрифт:

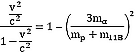
Теоретически достижимый для продуктов реакции момент импульса рассчитывается из релятивистского соотношения энергии, импульса и массы:

Теоретическая предельная скорость в единицах скорости света c получается приравниванием двух моментов импульса для ситуации, когда потеря момента импульса при захвате сырья компенсируется моментом импульса, передаваемым трем ?-частицам в каждом акте термоядерного горения.

Отсюда после несложных вычислений получаем

Аналогично показывается, что для протон-протонной реакции с катализом по CNO-циклу и суммарным энерговыходом 26.7 МэВ теоретическая эффективность двигателя

В общем виде для реакции

где символом обозначен i-й реагент, а символом – j-й продукт реакции,

предельная эффективность составит

где массы при суммировании берутся с коэффициентами, соответствующими уравнению реакции.

Не следует думать, что продуктом-выхлопом термоядерного горения в двигателе Буссарда могут быть только ядра гелия-4. Например, в реакции протона с ядром азота-15 получается ядро углерода-12 и ядро гелия-4, а энерговыделение составляет 5 МэВ. При более сложных предположениях допускается, что имитация звездного CNO-цикла непрямого синтеза гелия-4 из протонов все же позволит значительно повысить эффективность двигателя Буссарда, доведя показатель v/c до 0.85, а может быть, и до 0.99, но пока что осуществление этой реакции наталкивается на значительные трудности технологического характера, общие для всех проектов управляемого термоядерного синтеза.

  • 1
  • ...
  • 130
  • 131
  • 132
  • 133
  • 134
  • 135

Ебукер (ebooker) – онлайн-библиотека на русском языке. Книги доступны онлайн, без утомительной регистрации. Огромный выбор и удобный дизайн, позволяющий читать без проблем. Добавляйте сайт в закладки! Все произведения загружаются пользователями: если считаете, что ваши авторские права нарушены – используйте форму обратной связи.

Полезные ссылки

  • Моя полка

Контакты

  • chitat.ebooker@gmail.com

Подпишитесь на рассылку: