Вход/Регистрация
Стимулирование продаж
вернуться

Климин Анастасий Игоревич

Шрифт:

Пример 4.9

Эффективность стимулирования сбыта в аптечном бизнесе повышается при координации его мероприятий с рекламной кампанией. Как показывают исследования, ценовое стимулирование, проведенное одной из аптек, увеличило объем продаж лишь на 15 %. В сочетании с рекламой показатель вырос на 19 %, а в комплексе с рекламой и демонстрацией товара на месте продажи – на 24 %.

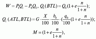
Конкретный вид функции отклика на бонус (скидку) и коммуникацию различен в зависимости от анализируемой ситуации. Для рассмотренных выше ситуаций, связанных с магазинами бытовой техники и аптекой, автор предлагает следующий вид несложной функции отклика покупателей для прогнозирования объемов продаж при стимулировании:

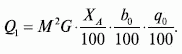
где Q1– объем продаж товара при проведении мероприятия по стимулированию, шт.; Q1(BTL) – объем продаж при стимулировании и рекламе на месте продажи, шт.; Q1(ATL, BTL) – объем продаж при стимулировании, массовой рекламе и рекламе на месте продажи, шт.; G – количество семей, планирующих покупку товара, шт.; X– охват целевого рынка, проценты; b – доля продаж рассматриваемого товара во всем ассортименте товарной категории при постановке эксперимента, проценты; q – доля покупателей среди посетителей, проценты; M – коэффициент роста, зависящий от эластичности спроса e, ед.

В данной модели коэффициент используется один раз для мультипликации (усиления) влияния доли покупателей среди всех посетителей. Он может использоваться и дважды – дополнительно для усиления эффекта доли охвата, если эффективный охват был ранее измерен без условий стимулирования. Тогда итоговая формула оптимистического прогноза будет выглядеть следующим образом:

Рассмотрим приведенные выше формулы на примере стимулирования продаж стиральных машин ARISTON (название марки взято исключительно для примера) в условной сети магазинов бытовой электроники с использованием реальных данных опросов.

Пример 4.10

Рассмотрим результаты опроса жителей Санкт-Петербурга в возрасте от 16 до 60 лет по планированию покупок бытовой техник (табл. 4.7 [32]).

Таблица 4.7

Планирование покупок бытовой электроники. «Какой товар Вы планируете приобрести в ближайшие полгода?»

Для крупных покупок, осуществление которых часто планируется заранее, можно говорить, что холодильники приобретет не менее 70 тыс. семей, стиральную машину – не менее 60 тыс. семей, плиту – не менее 25 тыс. семей, телевизор 29` и более – не менее 40 тыс. семей, телевизор 21 – 25` – также не менее 40 тыс. семей. Руководство магазина приняло решение провести акцию по ценовому стимулированию стиральных машин ARISTON. Сначала поставили эксперимент со снижением цены и рекламой на месте продаж в течение месяца на эти стиральные машины. При цене 15 тыс. руб. за месяц продавалось 49 машин, при цене 14 тыс. руб. была продана 61 машина. Эластичность составила – 3,4. В таблице 4.8 приведено распределение продаж стиральных машин в сети магазинов бытовой техники до и после проведения эксперимента по снижению цен (цифры условные).

Затем было решено задействовать для рекламы снижения цен фирменную газету-каталог, распространяемую бесплатно по почтовым ящикам. Для прогнозирования объема продаж использовалась вышеприведенная модель, данные опроса потенциальных покупателей, данные эксперимента со снижением цены и информация об охвате целевого рынка рекламного воздействия фирменной газетой-каталогом, которая обеспечивает охват 30 % петербуржцев (см. пример 4.8). В таблице 4.9 приведен расчет прогноза объема продаж.

Таблица 4.8

Распределение долей по продажам стиральных машин

Таблица 4.9

Расчет прогнозов продаж при ценовом стимулировании

Предложенная модель, безусловно, не может применяться для прогнозирования объема продаж чего угодно в любых условиях. В каждом конкретном случае модель прогнозирования строится исходя из специфических характеристик рынка и факторов, определяющих решение о покупке и характер рекламного воздействия.

Отметим, что на наш взгляд при проведении мероприятий как ценового, так и неценового стимулирования больший вклад в прирост продаж дает не скидка (бонус), а коммуникация, обеспечивающая привлечение покупателей на место продажи.

На практике скидки, как правило, не являются проверенными в экспериментах стимулами к увеличению объема продаж. Заявляя, например, в телевизионной рекламе «Скидка на ВСЕ 50 %!» в углу экрана мелким шрифтом помещают уточнение: «На все модели с красными ценниками». Понятно, что скидка дается лишь на две модели, а на все остальные скидок нет. Так как эта информация, хотя и мелким шрифтом, содержится в рекламе, то закон «О рекламе» вроде бы и не нарушается, а размер шрифта закон не оговаривает. Как вы понимаете, мелкий шрифт не особенно актуален в телевизионной рекламе. Количество рекламного товара ограничено, никто не ожидает прибыли от продажи этих моделей. Назовем такой товар и систему привлечения «бесплатный сыр». Этот механизм привлечения людей в магазин – опасен, но в нашей стране он пока работает.

Из перечисленных в начале этого раздела факторов, которые влияют на увеличение объемов продаж и прибыли при стимулирующих скидках, остались два: потенциал спроса и наличие товара для его удовлетворения. Достичь максимальной прибыли можно только при наличии определенной величины спроса в натуральном выражении с одной стороны, и наличии товара, способного удовлетворить это спрос, с другой стороны. Многие мероприятия по стимулированию убыточны именно по этим причинам. Предприниматели планируют продать много товара, но он не нужен ни в таком количестве, ни по такой цене. Обидно также бывает, когда в магазин стоит очередь, а товара уже нет и не будет: не запланировали, не выпустили, вовремя не заказали, не подвезли... При стимулировании вопросы логистики не менее важны, чем вопросы коммуникации.

  • Читать дальше
  • 1
  • ...
  • 42
  • 43
  • 44
  • 45
  • 46
  • 47
  • 48
  • 49
  • 50
  • 51
  • 52
  • ...

Ебукер (ebooker) – онлайн-библиотека на русском языке. Книги доступны онлайн, без утомительной регистрации. Огромный выбор и удобный дизайн, позволяющий читать без проблем. Добавляйте сайт в закладки! Все произведения загружаются пользователями: если считаете, что ваши авторские права нарушены – используйте форму обратной связи.

Полезные ссылки

  • Моя полка

Контакты

  • chitat.ebooker@gmail.com

Подпишитесь на рассылку: