Вход/Регистрация
Электрика в доме
вернуться

Коршевер Наталья Гавриловна

Шрифт:

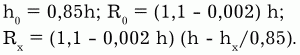
В зоне защиты типа А параметры h, R, Rx определяются следующим образом:

В зоне защиты Б:

При известных значениях hx и Rx необходимая высота молниеотвода h для зоны защиты типа Б определяется по формуле

При среднегрозовой деятельности более 20 часов в год (в средней полосе России она колеблется от 20 до 80 часов) необходимо устраивать молниезащиту (громоотвод). Сделать это несложно после ознакомления с системой расчетов.

Система молниезащиты состоит из трех элементов – приемника молний, проводника тока и заземлителя (рис. 83).

Рис. 83. Простейший громоотвод: а – общий вид; б – варианты устройства заземлителей «птичья лапа» и «треугольник»: 1 – молниеприемник; 2 – токоотвод; 3 – заземлитель.

Молниеприемник воспринимает прямой удар молнии и должен выдерживать большие тепловые и динамические нагрузки, чтобы устоять и не расплавиться. Для его изготовления используют полосовую и круглую сталь с наименьшим сечением 60 мм2 при длине не менее 20 см. Место размещения молниеприемника – самая высокая точка крыши, положение – строго вертикальное.

На рис. 84 показано, как конкретно устроить молниезащиту небольшого дома. Токоотвод изготавливают из оцинкованной круглой стальной проволоки диаметром не менее 5–6 мм.

К молниеприемнику его присоединяют сваркой, пайкой или болтовыми соединениями, при этом площадь контакта должна быть в 2 раза больше площади сечения стыкуемых деталей. Токоотвод прокладывают кратчайшим путем в местах наиболее вероятного удара молнии (по конькам крыш, по выступам и краям фронтонов), его крепление осуществляют хомутами, скобами, гвоздями. Если крыша строения изготовлена из легковозгораемого материала, то трасса токоотвода должна отстоять от нее минимум на 15–20 см.

Рис. 84. Молниезащита небольших домов стержневыми и тросовым молниеотводами: а – установленными на крыше; б – крепление молниеприемника к дымовой трубе; 1 – молниеприемник тросовый; 2 – молниеприемники стержневые (вилка); 3 – планка деревянная; 4 – заземлители; 5 – токоотвод; 6 – скобы; 7 – проволока вязальная (оцинкованная) диаметром 3–5 мм.

Назначение заземлителя – отвод тока в грунт, поэтому электрическое сопротивление материала, из которого он изготовлен, должно иметь минимальное значение. Располагать заземлитель следует таким образом, чтобы расстояние от него до крыльца и пешеходных дорожек было не менее 5 м. Чтобы воспрепятствовать проходу людей и животных в месте расположения заземлителя (для их защиты от шагового напряжения, которое возникает в момент отвода молнии в землю), его обносят оградой радиусом не менее 4 м.

Глубина залегания и положение заземлителя в грунте зависят от типа почвы и уровня залегания подпочвенных вод в конкретной местности.

При сухом грунте и низком уровне подпочвенных вод заземлитель устраивают в виде двух стержней длиной 2–3 м, вбитых вертикально в землю и на глубине 0,5 м соединенных методом сварки перемычкой сечением 100 мм2; к середине перемычки приваривают токоотвод.

Влажный или торфяной грунт и уровень подпочвенных вод менее 1,5 м предполагает заземлитель из горизонтально расположенных в грунте металлических уголков, старых рессор и т. п. Глубина их заложения – не менее 0,8 м (чем больше длина токоотвода в земле, тем надежней будет молниезащита).

Установка молниезащиты на многоквартирных домах вменена в обязанности организациям, производящим строительство (а они перекладывает эту задачу на плечи подрядных организаций). В настоящее время громоотводы на каждом строящемся доме не устанавливают, если хоть один стоит на крыше высотного дома, защищая от удара молнии большую площадь. Поэтому застройщики вначале сверяют параметры строящегося здания со схемой защитной зоны уже установленных громоотводов, в том случае, если новостройка в эту зону не попадает, устанавливают громоотвод.

О молниезащите частного дома придется позаботиться хозяину.

По существующим в России нормам на жилые дома высотой до 30 метров не распространяются требования обязательной установки молниезащитных устройств. Ну а если закон этого не требует, то к чему лишние расходы? И вот с первыми весенними грозами начинают полыхать городские дома и загородные коттеджи, хозяева которых не позаботились об их безопасности.

Конечно же, от грозового разряда загораются не все дома, не оборудованные молниезащитой, и даже не каждый второй. Например, если дом находится в низине, или рядом имеются более высокие здания, или сосед устроил такую мощную молниезащиту, которая распространила зону своего действия на строения, находящиеся на соседних участках, то можно не беспокоиться.

Если же ни одно из этих условий не соблюдено, то следует все-таки устроить защиту от грозового разряда. Особенно если крыша дома покрыта металлической кровлей или металлочерепицей. Дело в том, что укладывается этот кровельный материал либо на рубероид или толь, либо прямо на деревянную обрешетку; оба этих материала основания кровли относятся к диэлектрикам; следовательно, кровля оказывается полностью изолированной от земли. В металле кровли может накапливаться (а во время грозы обязательно) наведенное атмосферное электричество. Когда электрический потенциал достигает определенного уровня, ему необходимо разрядиться. Человеческое тело представляет собой великолепное разрядное устройство. Разряд же может достигать десятков тысяч вольт; если при этом и сила тока значительная, то прикосновение человека к наэлектризованной крыше может закончиться смертельным исходом или (в лучшем случае) потерей сознания.

  • Читать дальше
  • 1
  • ...
  • 53
  • 54
  • 55
  • 56
  • 57
  • 58
  • 59
  • 60
  • 61
  • 62
  • 63
  • ...

Ебукер (ebooker) – онлайн-библиотека на русском языке. Книги доступны онлайн, без утомительной регистрации. Огромный выбор и удобный дизайн, позволяющий читать без проблем. Добавляйте сайт в закладки! Все произведения загружаются пользователями: если считаете, что ваши авторские права нарушены – используйте форму обратной связи.

Полезные ссылки

  • Моя полка

Контакты

  • chitat.ebooker@gmail.com

Подпишитесь на рассылку: