Вход/Регистрация
Электронные самоделки
вернуться

Кашкаров Андрей Петрович

Шрифт:

Не допускайте, чтобы оксидный конденсатор находился под напряжением, превышающем его рабочее напряжение (допустимо только кратковременное перенапряжение в течение нескольких секунд). При прохождении через конденсатор импульсного тока обращают внимание на максимальное напряжение на конденсаторе (сумма постоянного напряжения и напряжения пульсаций — если конденсатор включен в электрическую цепь как сглаживающий пульсации фильтр), чтобы оно не превышало номинального значения. В противном случае, это приводит к преждевременному отклонению электрических характеристик конденсаторов (особенно оксидных) от номинальных. Например, оксидный алюминиевый конденсатор К50-24 рассчитан на работу в течение 2000 час. После этого времени предприятие-изготовитель не гарантирует сохранение номинальной емкости, тока утечки и прочих важных параметров. 2000 часов — это примерно 83 суток. Естественно, что для высококачественного усилителя нежелательно использовать такого рода конденсаторы. Практикой установлено, что эксплуатируемые при комнатной температуре усилители и приборы имеют более долговременную историю стабильной и эффективной работы, чем те, которые используются при разных, в том числе отрицательных, температурах окружающей среды. Это объясняется тем, что рабочий температурный диапазон широко популярных оксидных конденсаторов «привязан» к температуре +10…+70 °C.

Использование конденсатора при комнатной температуре гарантирует длительный срок его полезной службы. Сумма постоянного обратного напряжения и амплитуды пульсаций не должна превышать значение 2 В.

Для каждой серии современных конденсаторов указывается максимальное значение тангенса угла потерь (tgS), которое, как правило, измеряется на частоте сигнала 120 Гц при температуре окружающей среды +20 °C. Отсюда вычисляется эквивалентное последовательное сопротивление (ESR) по формуле:

где f— частота в герцах, при которой производились измерения, С — емкость конденсатора в фарадах.

В электрических цепях, где процесс заряда-разряда происходит с высокой частотой, значение емкости (по определению конденсатора) может уменьшаться. Если через конденсатор протекает импульсный ток, значение которого превышает номинальное значение тока конденсатора, то на конденсаторе выделяется избыточное тепло (его можно зафиксировать «невооруженными» руками, т. е. прикосновением), его емкость уменьшается, срок службы сокращается.

Во время пайки дискретных и чип-элементов необходимо соблюдение осторожности. Температура пайки выводов конденсаторов не должна превышать 260 °C, а контакт с жалом паяльника не более 5…7 сек.

Допустимый ток пульсации для оксидного электролитического конденсатора необходимо учитывать (он указывается персонально для каждой серии) для использования таких конденсаторов в качестве фильтрующих элементов в источниках питания мощных усилителей. Сумма постоянного напряжения на обкладках конденсатора и напряжения пульсации не должна превышать номинального рабочего напряжения. Номинально допустимые параметры определяются при окружающей температуре +85 °C и на частоте сигнала 120 Гц. При другой температуре окружающей среды и другой частоте сигнала в качестве максимально допустимого тока пульсации применяется значение тока пульсации, умноженное на коэффициент в табл. П2.9 и П2.10.

Представленные данные подтверждены многолетней практикой ремонта усилителей и справочниками.

2.2. Перспектива развития пассивных радиокомпонентов

Электронные компоненты на основе так называемых «твердых элементов» в недалеком будущем начнут вытеснять традиционные, производимые на основе сегодняшних технологий. Японские и американские технологи почти одновременно получили особый «твердый электролит», созданный из порошковой смеси различных металлов и специальных полимеров, модификации которого применяют в гальванических элементах и оксидных конденсаторах (ионисторах) сверхбольших емкостей. Гальванический элемент из такого материала при толщине 1 мкм дает напряжение до 0,5 В. Батарея из таких элементов толщиной 0,1 мм и площадью два квадратных сантиметра дает напряжение до 70 В. Не менее интересно применение «твердых электролитов» для производства новых типов конденсаторов, удельная емкость которых в тысячи раз превзойдет существующие. Электронным компонентам, созданным по новой технологии, можно придавать любую геометрическую форму, что позволит «вписывать» их в печатные платы, а также размещать их поверх других компонентов, увеличивая в десятки раз плотность монтажа. Серийный выпуск батарей и конденсаторов нового типа ожидается не ранее 2008 года.

Приложение 3

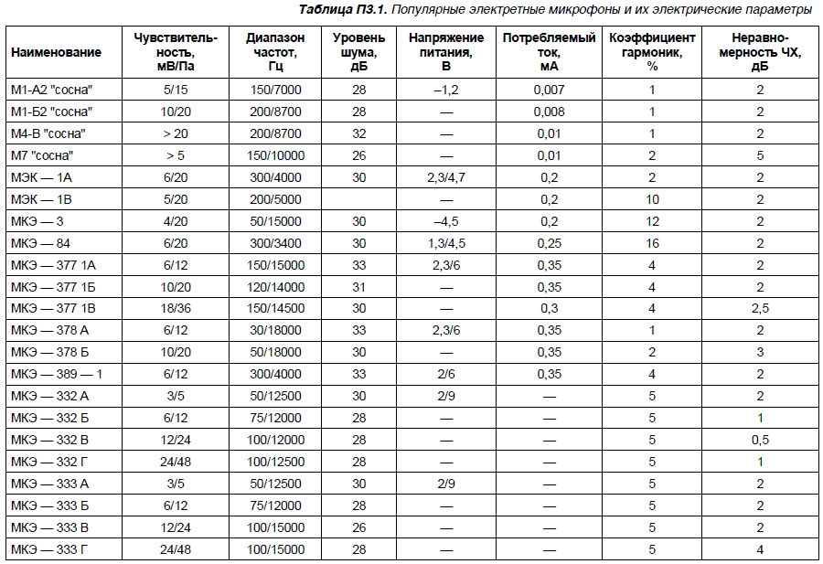
Некоторые электрические характеристики отечественных и зарубежных электретных микрофонов

Микрофон — это устройство, преобразующее звуковые колебания в электрические. «Микрофон» — от греческих слов «микро» — малый и «фон» — звук — ввел английский физик Уитсон в начале ХК века. Сегодня под микрофоном обычно понимают электрический прибор, обнаруживающий и усиливающий слабые звуки. Тогда же французский ученый Дю Монсель сказал о микрофоне: «В сущности, это есть не что иное, как передаточный телефон с батареей, но обладающий такими характерными качествами, которые делают его самостоятельным прибором, заслужив особое наименование».

В практике используется несколько типов микрофонов: пьезоэлектрические, электретные, конденсаторные, электромагнитные, электродинамические и угольные. Электретные микрофоны — популярные и распространенные сегодня в усилительной технике, заслуживают особого внимания. Именно они из всех перечисленных имеют самый широкий диапазон частот 30…20 000 Гц при самых малых габаритных размерах. Спектр применения электретных микрофонов широк — от всевозможных «жучков» — подслушивающих устройств до медицинских слуховых аппаратов и устройств дистанционного усиления телефонной связи (прототипов настоящим устройствам «hands free» — свободные руки, активно используемых сегодня в мобильной сотовой связи). В табл. П3.1 и П3.2 приводятся электрические характеристики популярных электретных микрофонов.

Приложение 4

Некоторые электрические характеристики отечественных и зарубежных динамических головок

Динамические головки или в радиолюбительском обиходе просто «динамики» различаются между собой и подразделяются на рупорные, электромагнитные, электродинамические, изодинамические, ленточные, электростатические, пьезоэлектрические и магнитострикционные. Каждый из этих типов по-своему отличается от других. В последующей подборке таблиц приводятся электрические характеристики динамических головок как старой, так и новой маркировки. Эти данные окажутся полезными радиолюбителям, занимающимся самостоятельным ремонтом и конструированием усилительной звуковой техники. В табл. П4.1 представлены справочные данные по низкочастотным динамическим головкам.

  • Читать дальше
  • 1
  • ...
  • 55
  • 56
  • 57
  • 58
  • 59
  • 60
  • 61
  • 62
  • 63
  • 64
  • 65
  • ...

Ебукер (ebooker) – онлайн-библиотека на русском языке. Книги доступны онлайн, без утомительной регистрации. Огромный выбор и удобный дизайн, позволяющий читать без проблем. Добавляйте сайт в закладки! Все произведения загружаются пользователями: если считаете, что ваши авторские права нарушены – используйте форму обратной связи.

Полезные ссылки

  • Моя полка

Контакты

  • chitat.ebooker@gmail.com

Подпишитесь на рассылку: