Вход/Регистрация
Теплотехника
вернуться

Бурханова Наталья

Шрифт:

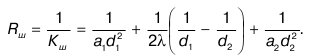
T1,Т2 – температуры внутренней и наружной стенок.

где DT = Тж1 – Тж2 – полный температурный напор;

Кш – коэффициент теплопередачи шаровой стенки (Вт/град).

Величина обратная Кш называется термическим сопротивлением теплопередачи шаровой стенки:

  • 1
  • ...
  • 22
  • 23
  • 24
  • 25
  • 26
  • 27

Ебукер (ebooker) – онлайн-библиотека на русском языке. Книги доступны онлайн, без утомительной регистрации. Огромный выбор и удобный дизайн, позволяющий читать без проблем. Добавляйте сайт в закладки! Все произведения загружаются пользователями: если считаете, что ваши авторские права нарушены – используйте форму обратной связи.

Полезные ссылки

  • Моя полка

Контакты

  • chitat.ebooker@gmail.com

Подпишитесь на рассылку: