Вход/Регистрация
Теплотехника
вернуться

Бурханова Наталья

Шрифт:

Определение 1. Коэффициентом объемного расширенияaназывается изменение объема вещества при повышении его температуры на один градус.

– частная производная параметров состояния.

Она характеризует изменение объема вещества с определенной массой, если его температура повышается на один градус, а внешнее давление остается постоянным.

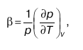
Определение 2. Термическим коэффициентом давления b называется изменение давления в зависимости от изменения температуры вещества. Эта величина также относительная и рассчитывается как:

где

– частная производная,характеризующая изменения давления p,если температура вещества повышается на один градус, а объем остается постоянным, давление pявляется функцией температуры.

Определение 3. Изотермическим коэффициентом сжимаемостиgназывается изменение объема в зависимости от изменения давления.

– частная производная, характеризует изменение объема вещества, если давление меняется на одну единицу.

44. Свойства характеристических функций

Функции, описывающие любые термодинамические свойства, называются характеристическими функциями или термодинамическими потенциалами системы. Наиболее важными характеристическими функциями являются: энтальпия

i= i(S,p),

внутренняя энергия

U= U(S,v),

изобарно-изотермический потенциал, или свободная энтальпия,

Z= Z(T,p),

изохорно-изотермическтий потенциал, или свободная энергия,

F= F (T,v).

К основным свойствам характеристических функций относятся следующие.

1. Термодинамические потенциалы отличаются от других функций тем, что имеют более простую структуру и определенное физическое значение.

2. Параметры состояния системы равны частным производным от термодинамического потенциала, взятым по тем же параметрам.

3. В результате дифференцирования термодинамического потенциала получается полный дифференциал данной функции.

4. Используя характеристические функции, записанные в дифференциальном виде, можно получить любые термодинамические параметры системы.

5. Термодинамический потенциал всей системы складывается из значений потенциала ее частей, т. е. обладает свойством аддитивности.

6. Характеристические функции устанавливают зависимость между различными термодинамическими свойствами вещества. Так, например, первые производные от потенциала характеризуют термические свойства (т. е. величины, измеряемые непосредственно приборами – объем, температура, давление), а вторые производные соответствуют калорическим свойствам системы (это величины, выраженные в единицах теплоты – теплоемкость, энтропия, энтальпия, внутренняя энергия).

7. Частные производные характеристических функций позволяютсоставлять уравнения теплоемкостей Cv и Cp, уравнения состояния и другие термодинамические зависимости.

8. Функция является характеристической только при определенных параметрах. При выборе других переменных она утрачиваетсвои свойства, потому что в этом случае частные производные не выражают термодинамические свойства системы.

45. Химический потенциал

Химической энергией называется такая энергия, которая образуется в результате химических взаимодействий и входит в состав внутренней энергии вещества. Химические реакции делятся на экзотермические (проходящие с выделением энергии) и эндотермические (сопровождающиеся ее поглощением).

В случае химической реакции меняется внутренняя энергия системы, так как меняется поглощение атомов в веществах-реагентах. Для таких процессов, можно применить первое начало термодинамики в виде:

U1– U2 =U=Q+A,

где Q– количество теплоты;

DU – изменение внутренней энергии вещества;

А – полезная работа, включающая работу по преодолению также различных электромагнитных сил.

Работа, совершенная в процессе обратимой химической реакции, является максимальной. Ее выражают с помощью уравнения Гиббса-Гельмгольца:

  • Читать дальше
  • 1
  • ...
  • 17
  • 18
  • 19
  • 20
  • 21
  • 22
  • 23
  • 24
  • 25
  • 26

Ебукер (ebooker) – онлайн-библиотека на русском языке. Книги доступны онлайн, без утомительной регистрации. Огромный выбор и удобный дизайн, позволяющий читать без проблем. Добавляйте сайт в закладки! Все произведения загружаются пользователями: если считаете, что ваши авторские права нарушены – используйте форму обратной связи.

Полезные ссылки

  • Моя полка

Контакты

  • chitat.ebooker@gmail.com

Подпишитесь на рассылку: