Вход/Регистрация
Теплотехника
вернуться

Бурханова Наталья

Шрифт:

В данном соотношении каждый член имеет определенное физическое значение. Рассмотрим каждый множитель из уравнения.

1. Величина

показывает, как изменяется давление в зависимости от Х-координаты.

2. Величина

показывает, как изменяется скорость в зависимости от Х-координаты.

3. Соотношение

равно силе, приложенной к элементарному объему, dV – выделенный объем.

dw

4. Величина

газа равна ускорению массы pdV(элементарная масса).

49. Работа проталкивания

Работа проталкивания. Для ее определения в уравнение:

подставим равенство i = u +pv, получим в результате:

где d(pv) – работа проталкивания, рассчитанная для элементарного объема,

d(pv) = pdv + vdp – уравнение для элементарной работы.

Соотношение (2), включающее силы гравитации, имеет вид:

В том случае, когда течение газа представлено в виде адиабатного процесса, при котором dq = 0, соотношение (1) записывается таким образом:

При адиабатном движении потока сумма удельной кинетической энергии и удельной энтальпии является постоянной величиной.

Если техническая работа имеет место в процессе, то для газового потока первое начало термодинамики будет иметь вид:

где dlTEK– полезная работа (элементарная).

50. Располагаемая работа при истечении газа

Исследуем процесс перемещения (истечения) газового потока.

Предположим наличие некоторой емкости, в ней содержится пар или газ (т. е. рабочее тело), имеющий параметры состояния в виде величин f1, v1, p1. Из данного сосуда, в стенке которого находится отверстие, газ вытекает в окружающую среду. Это происходит вследствие разницы в давлениях (p1– p2), газ на выходе имеет давление p1 < p2 Соответственно температура газа при этом равна t2, а удельный объем – v2 Для того чтобы струя вытекающего газа получила заданное направление, с наружной стороны сосуда к поверхности, где расположено отверстие, приставляют насадки цилиндрической формы (так называемые сопла). Чаще всего они имеют форму усеченного конуса, суживающегося к наружному краю. Такие сопла называются кон-фузорами. В случае канала, работающего по обратному процессу, такое сопло является диффузором. Устьем называют внешнее (т. е. на выходе) сечение сопла.

Обозначим скорость газовой струи на выходе из устья величиной а на входе в сосуд – величиной W1 (втекающий газ), при этом сопло имеет устье, поперечное сечение которого определяется площадью f. На практике w1намного меньше w2,при вычислениях ею пренебрегают и принимают: w1= 0, w2= w.

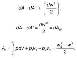
dq = du + dA,

где dA = pdv – работа по расширению, или совершаемая самим газом элементарная работа. Отсюда:

Таким образом, в результате истечения газа мы располагаем работой, равной A0.Численно она равна либо увеличению кинетической энергии в ходе истечения, либо сумме работ проталкивания и против внешних сил.

51. Скорость истечения в сужающемся канале, массовая скорость перемещения потока

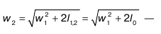
Скорость истечения в сужающемся канале

Рассмотрим процесс адиабатного истечения вещества. Предположим, что рабочее тело с некоторым удельным объемом (v1) находится в резервуаре под определенным давлением (p1).Процесс истечения заключается в перемещении газа (или пара) из среды, имеющей давление p1(резервуар) в окружающую среду, давление в которой p2 < p1.При этом за время процесса истечения рабочего вещества из сопла давление внутри резервуара практически не уменьшается, это допустимо в случае очень большого объема резервуара. При перемещении потока газа (пара) через сопло его потенциальная энергия очень мала и ее изменением обычно пренебрегают. Кинетическая энергия в этом случае возрастает.

где w1– скорость перемещения потока вещества во входном сечении насадки;

w2– скорость на выходе сопла.

скорость истечения газа (пара)из сопла.

Чаще всего скорость w1 намного меньше скорости w2 (W1 << W2), поэтому ею пренебрегают и считают W1 = 0.

  • Читать дальше
  • 1
  • ...
  • 19
  • 20
  • 21
  • 22
  • 23
  • 24
  • 25
  • 26
  • 27

Ебукер (ebooker) – онлайн-библиотека на русском языке. Книги доступны онлайн, без утомительной регистрации. Огромный выбор и удобный дизайн, позволяющий читать без проблем. Добавляйте сайт в закладки! Все произведения загружаются пользователями: если считаете, что ваши авторские права нарушены – используйте форму обратной связи.

Полезные ссылки

  • Моя полка

Контакты

  • chitat.ebooker@gmail.com

Подпишитесь на рассылку: