Вход/Регистрация
Теплотехника
вернуться

Бурханова Наталья

Шрифт:

I = q1 – q2

и отрицательна.

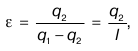
Холодильный коэффициент e характеризует производительность работы холодильных устройств и определяется отношением:

где q2 – количество теплоты, отведенной от холодного источника и полученной горячим источником;

I – совершенная работа.

Для обратного и обратимого цикла Карно холодильный коэффициент вычисляется с помощью соотношения:

37. Теорема Карно

Проведем краткий анализ формулы для термине-ского КПД обратимого прямого цикла Карно:

Из данного равенства следует:

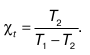
1) термический КПД зависит только от значений температур горячего и холодного источников;

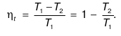
2) ht(для цикла Карно) тем больше, чем выше температура горячего источника (71) и чем ниже температура холодного источника (72);

3) в цикле Карно термический КПД обязательно должен быть меньше единицы. Так как ht= 1 может быть только в случае T2 / T1 = 0, когда T1 = 0, либо T2 = 0 (или T2 = -273,15 oC). Температура холодного источника 72 в реальных тепловых двигателях представляет собой обычно температуру T2 = 260 – 300 K (окружающей среды). Температура нагревателя в топке паросиловых установок равна примерно 2000 К, а в двигателях внутреннего сгорания – около 2500 К, так как в поршневых цилиндрах этих двигателей стенки охлаждаются, и рабочим веществом становятся именно продукты сгорания. Отсюда вытекает то же утверждение, что всю теплоту, подведенную к газу в ходе цикла, нельзя полностью превратить в полезную работу, этот переход обязательно должен сопровождаться потерей части теплоты (она поглощается холодным источником);

4) в цикле Карно термический КПД равен нулю в случае T1 = T2. Из этого следует, что если в системе поддерживается тепловое равновесие, т. е. температура всех тел системы одинакова, то преобразование теплоты в полезную работу невозможно. Для цикла Карно (прямого) верно: ht= 1 – T2/ T1 = 1 – 1 = 0 при T1 = t= T2 (в случае равенства температур обоих источников);

5) термический КПД t характеризует обратимый цикл Карно (круговой процесс). Все реальные процессы необратимы, это объясняется потерями энергии (из-за теплообмена, трения и др.). Поэтому термический КПД реального цикла Карно (необратимого) всегда меньше величины 1 – T2 / T1. Главной особенностью этого цикла является то, что он одинаков как для идеальных, так и для обычных реальных газов, если заданы температуры (T1, T2) источников. Это утверждение представляет собой сущность теоремы Карно, которая гласит: «В тепловом двигателе для всякого обратимого цикла термический КПД не будет зависеть ни от характера цикла, ни от рода вещества (рабочего тела)». Он будет определяться только отношением температур нагревателя (теплоотдатчика) и холодильника (теплоприемника). Другими словами, в тепловом двигателе для каждого обратимого цикла термический КПД вычисляется с помощью такой же формулы, которая определена для обратимого цикла Карно.

38. Изменение энтропии в процессах

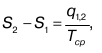
Энтропией называется параметр состояния, который зависит от приведенной теплоты (отношение q /T). Изменение энтропии вычисляется по формуле:

где q1,2 количество теплоты, подведенной к рабочему телу или отведенной от него;

Tср – средняя температура подведенной (или отведенной) теплоты.

Это соотношение определяет изменение энтропии от начального значения энтропии S1 до конечного значения S2

1) при q1,2 > 0 (теплота подводится к рабочему телу) изменение энтропии положительно: S2– S1> 0, S2> S1, так как средняя термодинамическая температура должна быть всегда положительной, т. е. Tср > 0. Иными словами, энтропия тела возрастает;

2) при q1,2 < 0 (теплота отводится от рабочего тела) изменение энтропии отрицательно: S2– S1 <0, S2 < S1 т. е. энтропия тела снижается;

3) при q1,2 = 0 (адиабатический процесс) изменение энтропии равно нулю: S2 – S1= 0, S2 = S1 т. е. энтропия тела остается постоянной. Процесс, в ходе которого значение энтропии не меняется, называется изоэнтропийным.

Для идеального газа получаем следующие выводы.

1. При изотермическом процессе вместо Tср достаточно в уравнение энтропии подставлять значения температуры Т, так как T1= T2 = const.

  • Читать дальше
  • 1
  • ...
  • 14
  • 15
  • 16
  • 17
  • 18
  • 19
  • 20
  • 21
  • 22
  • 23
  • 24
  • ...

Ебукер (ebooker) – онлайн-библиотека на русском языке. Книги доступны онлайн, без утомительной регистрации. Огромный выбор и удобный дизайн, позволяющий читать без проблем. Добавляйте сайт в закладки! Все произведения загружаются пользователями: если считаете, что ваши авторские права нарушены – используйте форму обратной связи.

Полезные ссылки

  • Моя полка

Контакты

  • chitat.ebooker@gmail.com

Подпишитесь на рассылку: