Вход/Регистрация
Теплотехника
вернуться

Бурханова Наталья

Шрифт:

Величина K является константой (или постоянной) Больцмана.

Следовательно, с увеличением энтропии увеличивается вероятность наступления того или иного термодинамического состояния. Причем наиболее вероятное состояние наступает при максимальном значении энтропии.

41. Уравнение состояния Ван-дер-Ваальса

В общем случае для реальных газов при вычислении параметров состояния нельзя использовать уравнение состояния pv = RT,

которое верно для идеальных газов.

Общее уравнение состояния для реальных газов.

в котором коэффициенты Bi – называются вириальными. Эти коэффициенты являются функцией температуры молекул реального газа и потенциальной энергии их взаимодействия.

В определении Вi – коэффициентов производят расчет только первых двух членов ряда, остальные вириальные коэффициенты отбрасываются.

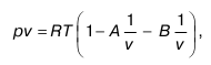
Тогда уравнение состояния для реальных газов принимает следующий вид:

где А и В – два первых вириальных коэффициента, зависящих только от температуры.

В частном случае (малая плотность газа) уравнение имеет форму:

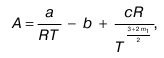
Если В1 = f(T, Uпотенц), то уравнение превращается в уравнение состояния для реального газа Ван-дер-Ваальса:

где b– минимальный объем, который может приобретать реальный газ при сжатии;

а – коэффициент, не являющийся функцией параметров состояния.

Для разных газов величины а и b различны.

Иными словами, уравнение Ван-дер-Ваальса – это частный случай закона Боголюбова-Майера, в котором пренебрегают всеми членами 1/v выше второй степени. Если реальный газ имеет высокую плотность, то уравнения такого типа будут верны при большем количестве членов ряда. В этом случае уравнения состояния реальных газов дают точность вычислений, приемлемую на практике.

42. Уравнение состояния для реальных газов М. Н. Вукаловича и И. И. Новикова

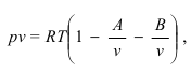
Универсальное уравнение, описывающее состояние любых реальных газов, было получено в 1939 г. русскими учеными И. И. Новиковым и М. Н. Вукаловичем. В нем

уже учитывалось явление силового взаимодействия молекул (ассоциация, диссоциация) и в общей форме оно записывалось в виде:

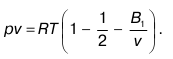
где А и В– коэффициенты, вычисляемые по формулам:

где а и b – для реальных газов постоянные величины в уравнениях состояния;

R – универсальная газовая постоянная; r, c, k, m1, m2 – коэффициенты, выражающие степень ассоциации.

Иначе уравнение Вукаловича-Новикова можно представить в виде:

где а и b – постоянные величины в уравнении Ван-дер-Ваальса; m, c – постоянные, рассчитываемые опытным путем.

В общем случае основными для перегретого пара (аналогично газу) являются такие параметры состояния, как температура, давление и удельный объем. Перегретый пар близок по свойствам к идеальному газу, так как его параметры расположены далеко от критической точки и от пограничной кривой (верхняя кривая на диаграммах). Если давление перегретого пара не очень велико, то его уравнение состояния можно получить, используя уравнение Ван-дер-Ваальса для случая реального газа, путем введения в него поправок.

Для водяного пара уравнение состояния М. Н. Вукаловича и И. И. Новикова в современной термодинамике является наиболее точным уравнением. Причем его можно использовать и для расчета состояний перегретого пара (при условии и для расчета давления), если добавить к нему несколько последующих членов уравнения.

43. Частные производные параметров состояния. Термические коэффициенты

Свойства реальных веществ описываются термическими коэффициентами.

  • Читать дальше
  • 1
  • ...
  • 16
  • 17
  • 18
  • 19
  • 20
  • 21
  • 22
  • 23
  • 24
  • 25
  • 26

Ебукер (ebooker) – онлайн-библиотека на русском языке. Книги доступны онлайн, без утомительной регистрации. Огромный выбор и удобный дизайн, позволяющий читать без проблем. Добавляйте сайт в закладки! Все произведения загружаются пользователями: если считаете, что ваши авторские права нарушены – используйте форму обратной связи.

Полезные ссылки

  • Моя полка

Контакты

  • chitat.ebooker@gmail.com

Подпишитесь на рассылку: